-
廢水中去除及回收銅的方法詳細介紹 2018-03-31 [污水處理] 熱度:539

今天為廣大朋友介紹的是廢水中去除及回收銅的方法 廢水中銅的去除及回收方法,可用于廢水中銅的去除及回收利用,屬于環保技術領域。本方法是首先在含銅廢水中加入氧化銅或氫氧化銅,充分攪拌,使廢水中的銅和其對應...
-
混凝土的專用泵送劑 2018-03-31 [污水處理] 熱度:225

今天為廣大朋友介紹的是混凝土的專用泵送劑 對水泥和攪拌站廢水適應性好,使用方便,生產效率高的利用攪拌站廢水所配制的混凝土的專用泵送劑。該泵送劑組成材料是聚羧酸減水劑,葡萄糖酸鈉,木質素磺酸鈣,三聚磷酸...
-
格柵井以及污水處理系統詳細介紹 2018-03-31 [污水處理] 熱度:644

今天為廣大朋友介紹的是格柵井以及污水處理系統 格柵井以及污水處理系統,包括筒體,所述筒體上設置有進口、出口和清掏口;所述進口設置在所述筒體的一端,所述出口設置在所述筒體的另一端;所述清掏口設置于所述筒體...
-
污水處理壓濾間自動壓濾技術詳細介紹 2018-03-31 [污水處理] 熱度:330

今天為廣大朋友介紹的是污水處理壓濾間自動壓濾技術 污水處理壓濾間自動壓濾裝置,涉及污水處理領域,包括電氣控制柜,兩臺壓濾機,位于兩臺壓濾機之間收集池,位于收集池內的壓濾提升泵;所述兩臺壓濾機通過支架對稱...
-
印染廢水處理工藝詳細介紹 2018-03-31 [污水處理] 熱度:288

今天為廣大朋友介紹的是印染廢水處理工藝 紡織印染廢水具有水量大、成分復雜多變、色度大、COD高、毒性強等特點, 屬于難處理的工業廢水之一.如直接采用生化法如厭氧(水解酸化)、好氧等對其進行處理, 時常會發生活性...
-
工業印染廢水處理方法詳細介紹 2018-03-31 [污水處理] 熱度:290

今天為廣大朋友介紹的是工業印染廢水處理方法 一,引言 近年來,隨著我國工廠的不斷增多,工業廢水排放量日益增大,水環境質量不斷惡化,水環境保護問題引起人們的廣泛關注。印染廢水具有水量大、有機污染物濃度高、...
-
用于印染廢水處理工藝詳細介紹 2018-03-31 [污水處理] 熱度:253

今天為廣大朋友介紹的是用于印染廢水處理工藝 用于印染廢水的污水處理工藝,可針對不同濃度的廢水進行廢水處理,使廢水達到排放標準;同時可對低濃度的廢水進行回收利用,充分利用了水資源。 摘要附圖 1.一種用于印染...
-
染料廢水處理技術詳細介紹 2018-03-31 [污水處理] 熱度:326

今天為廣大朋友介紹的是染料廢水處理技術 近年來,水污染日益嚴重,而目前傳統的水處理方法難以處理水體中難降解的有機物(如染料和藥物等)。因此,越來越多的學者研究了許多新方法來解決難降解有機物造成的水污染問...
-
城市污水A2/O氧化溝處理工藝詳細介紹 2018-03-31 [污水處理] 熱度:749

今天為廣大朋友介紹的是城市污水A2/O氧化溝處理工藝 隨著水體富營養化問題的日益突出,對污水進行脫磷除氮處理就成為水處理研究的熱點〔1〕,而相應的污水處理工藝也不斷被提出,如倒置A2/O 工藝〔2〕,CASS〔3〕工...
-
SBR反應池作用詳細介紹 2018-03-31 [污水處理] 熱度:910

今天為廣大朋友介紹的是SBR反應池作用 SBR是SBR是序列間歇式活性污泥法(SequencingBatchReactorActivatedSludgeProcess)的簡稱,是一種按間歇曝氣方式來運行的活性污泥污水處理技術,又稱序批式活性污泥法。按間歇曝...
-
SBR反應池原理詳細介紹 2018-03-31 [污水處理] 熱度:878

今天為廣大朋友介紹的是 SBR反應池計算 SBR是序批式活性污泥法的簡稱,是一種按間歇曝氣方式來運行的活性污泥污水處理技術。它的主要特征是在運行上的有序和間歇操作。SBR技術采用時間分割的操作方式替代空間分割的...
-
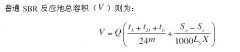
詳細介紹SBR反應池計算 2018-03-31 [污水處理] 熱度:818

今天為廣大朋友介紹的是SBR反應池計算 普通SBR反應池容積除了考慮反應時間外,還需考慮沉淀、排水、閑置過程需要占用的時間。 設:V、V1、V2分別為反應器總容積、充水體積和未充水前最低水位時水的體積。 V、V1、V2...
-
鉻污染廢水凈化處理方法詳細介紹 2018-03-31 [污水處理] 熱度:308

今天為廣大朋友介紹的是鉻污染廢水凈化處理方法 隨著我國工農業的逐步發展,冶金、化工、陶瓷、印染、電子工業和選礦等行業每年在生產過程中均會產生大量的含有重金屬離子的廢水及廢渣,若對這些污染物不加以處理而排...
-
移動式環保衛生間糞便污水處理系統詳細介紹 2018-03-31 [污水處理] 熱度:607

今天為廣大朋友介紹的是移動式環保衛生間糞便污水處理系統 污水處理環保技術領域,特別是涉及一種移動式環保衛生間糞便污水處理系統。該處理系統包括調節池、凈化池、加藥桶組成,其中凈化池根據生物降解污水原理進...
-
洗煤廢水處理工藝詳細介紹 2018-03-31 [污水處理] 熱度:336

今天為大家介紹的是洗煤廢水處理工藝 洗煤廢水的處理工藝,采用接枝共聚法先制備了接枝聚合物,然后向接枝聚合物中加入甲醛和二甲胺制備了陽離子聚丙烯酰胺絮凝劑,然后以陽離子聚丙烯酰胺絮凝劑為主處理洗煤廢水,...